Workshop: “Handling Uncertainty in your Data”
Part of the German Reproducibility Network:
https://www.youtube.com/watch?v=sQFmB_EY1PQ
https://bookdown.org/MathiasHarrer/Doing_Meta_Analysis_in_R/forest.html#forest-R
→ Effects in relation to their group-level precision
https://www.medicowesome.com/2020/04/funnel-plot.html
→ Effects in relation to their group-level precision
Is there a meaningful correlation?
Is there a meaningful correlation?
Is there a meaningful correlation?
Precision is indicated by errorbars / confidence intervals
Whenever you summarize across a variable, you can calculate the
precision of the aggregation
Holmqvist et al. (2023, retracted)
Only relevant for time series data (i.e., several “measurements” per trial)
Note: Calculating standard deviation / error is not trivial here because of auto-correlation
Precision is indicated by errorbars / confidence intervals
Whenever you summarize across a variable, you can calculate the
precision of the aggregation
Precision exists on different levels: group, subject, trial (and more)
cf. Nebe, Reutter, et al. (2023); Fig. 1
https://www.reddit.com/r/OTMemes/comments/6am425/obiwan_was_right_all_along/
Not this!
http://highered.blogspot.com/2012/06/bad-reliability-part-two.html
cf. Nebe, Reutter, et al. (2023); Fig. 2
(Intraclass) Correlation
→ explained variance:
\(R^2 = between / (between + within)\)
Reliability tells you if (to what extent) you can distinguish between low and high trait individuals.
⇒ Reliability =
low subject-level variability (high precision) +
high group-level variability (low precision!)

Paradigms that produce robust results often show low reliability (Hedge et al., 2018)
Why do statistical significance and reliability not go hand in hand?
Paradigms that produce robust results often show low reliability (Hedge et al., 2018)
Why do statistical significance and reliability not go hand in hand?
Statistical power is enhanced by high group-level precision,
reliability by high group-level variability (cf. previous slide)
More subjects only increase group-level precision (high power), leaving subject-level precision constant
→ sample size has no effect on the magnitude of reliability
Group-level precision ⇔ homogenous sample / responses
Reliability ⇔ heterogenous sample / responses
→ Choosing your paradigm and sample, you can optimize for group-level significance OR reliability
Basic research favors different things than (clinical) application (or individual differences research)
⇒ Most of the time group-level precision gets optimized at the cost of reliability
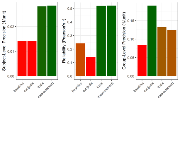
Improving trial-level precision of the measurement benefits both subject- and group-level precision
⇒ Nested hierarchy of precision
cf. Nebe, Reutter, et al. (2023); Fig. 7
Improving trial-level precision of the measurement benefits both subject- and group-level precision
⇒ Nested hierarchy of precision
cf. Nebe, Reutter, et al. (2023); Fig. 7
Precision is indicated by errorbars / confidence intervals
Whenever you summarize across a variable, you can calculate the
precision of the aggregation
Precision exists on different levels: group, subject, trial (and more)
Closely linked to statistical power and reliability
Shield the measurement from random noise → precise equipment / paradigm
⇒ trial-level precision
Identify the aggregation level of interest:
⇒ “two disciplines of scientific psychology” (Cronbach, 1957)
Group-level Precision
Group differences (t-tests, ANOVA)
Many subjects (independent observations)
Homogenous sample (e.g., psychology students?)
Subject-level Precision
Correlations (e.g., Reliability)
Many trials (careful: sequence effects!)
Heterogenous/diverse sample
Low variability within subjects across trials (i.e., SDwithin)
We are in a replication crisis
Increasing the number of subjects is not the only way to get out
Sample size benefits basic research on groups only
⇒ Increase precision on the aggregate level of interest!
R!Calculates the (lack of) precision of a mean based on the
standard deviation (\(SD\)) of the individual observations and their number (\(n\))
\[SE = \frac{SD}{\sqrt{n}}\]
RNo base R function available 💩
Use confintr::se_mean (not part of the tidyverse)
Use a custom function
R 2Whenever you use mean, also calculate the SE:
library(tidyverse)
iris %>% #helpful data set for illustration
summarize( #aggregation => precision
across(.cols = starts_with("Sepal"), #everything(), #output too wide
.fns = list(mean = mean, se = confintr::se_mean)),
.by = Species) Species Sepal.Length_mean Sepal.Length_se Sepal.Width_mean Sepal.Width_se
1 setosa 5.006 0.04984957 3.428 0.05360780
2 versicolor 5.936 0.07299762 2.770 0.04437778
3 virginica 6.588 0.08992695 2.974 0.04560791
→ subject-level (species-level) precision
RWhat is the group-level precision of Sepal.Length?
Note: Treat Species as subjects and rows within Species as trials.
data <-
iris %>%
rename(subject = Species, measure = Sepal.Length) %>%
mutate(trial = 1:n(), .by = subject) %>%
select(subject, trial, measure) %>% arrange(trial, subject) %>% tibble() #neater output
print(data)# A tibble: 150 × 3
subject trial measure
<fct> <int> <dbl>
1 setosa 1 5.1
2 versicolor 1 7
3 virginica 1 6.3
4 setosa 2 4.9
5 versicolor 2 6.4
6 virginica 2 5.8
7 setosa 3 4.7
8 versicolor 3 6.9
9 virginica 3 7.1
10 setosa 4 4.6
# ℹ 140 more rows
RWhat is the group-level precision of Sepal.Length?
# A tibble: 1 × 2
m se
<dbl> <dbl>
1 5.84 0.0676
R 2What is the group-level precision of Sepal.Length?
data %>%
summarize(measure.subject = mean(measure), .by = subject) %>% #subject-level averages
summarize(m = mean(measure.subject),
se = confintr::se_mean(measure.subject),
n = n())# A tibble: 1 × 3
m se n
<dbl> <dbl> <int>
1 5.84 0.459 3
⇒ When using trial-level data to calculate group-level precision, summarize twice!
⇒ Every summarize brings you up exactly one level - don’t try to skip!
trial-level → subject-level → group-level
Rdata %>%
summarize(.by = subject, #trial- to subject-level
measure.subject = mean(measure), #subject-level averages
se.subject = confintr::se_mean(measure)) %>% #subject-level precision
summarize(m = mean(measure.subject), #group-level mean ("grand average")
se = confintr::se_mean(measure.subject), #group-level precision
se.subject = mean(se.subject), #average subject-level precision (note: pooling should be used)
n = n())# A tibble: 1 × 4
m se se.subject n
<dbl> <dbl> <dbl> <int>
1 5.84 0.459 0.0709 3
Learning objectives:
Learn about the core concept of precision and how it relates to similar constructs (e.g., validity, reliability, statistical power)
Recognize your aggregate level of interest for research questions and how you can improve its precision
(Understand the reliability paradox and its relation to precision)
Calculate precision in R (on different aggregation levels)
Next:
Confidence Intervals